-
Las enmiendas al proyecto añaden reglas de protección al consumidor, bancarrota y ética.
-
Los defensores ven la ley como clave para la innovación en EE. UU.
Un borrador filtrado de la Ley GENIUS (Guiding and Establishing National Innovation for U.S. Stablecoins), que busca regular el mercado de stablecoins en Estados Unidos, revela que las enmiendas contempladas al texto consideran prohibir que gigantes tecnológicos como Meta y Google emitan monedas digitales.
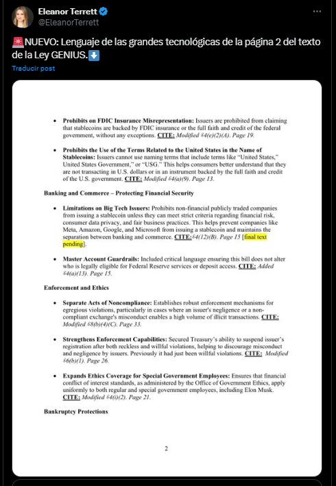
Según un tuit de la periodista Eleanor Terrett, el texto de la página 2 del proyecto incluye un lenguaje específico dirigido a las empresas tecnológicas, reforzando la separación entre banca y comercio.
De esta manera, los legisladores se estarían asegurando de que la normativa para la regulación de las stablecoins en EE. UU. no entre en conflicto con otras leyes como la Ley de Bancos de ese país. Esta especifica una separación entre instituciones financieras y empresas comerciales para evitar conflictos de interés y proteger a los consumidores.
Permitir a Meta o Google emitir stablecoins rompería esta barrera, ya que estas empresas no son bancos, sino gigantes tecnológicos con intereses comerciales diversos.
El borrador, que aún está en discusión, también prohibiría a los emisores de stablecoins hacer afirmaciones engañosas sobre el seguro de la Corporación Federal de Seguros de Depósitos (FDIC) y usar términos asociados con el gobierno de EE. UU. en los nombres de sus monedas digitales. Estas medidas persiguen el incremento de la transparencia y proteger a los consumidores en un mercado de stablecoins que supera los 230 mil millones de dólares en circulación, según datos de DefiLlama.
La regulación para stablecoins en una carrera contrarreloj
Tras el fracaso en el Senado la semana pasada de la «ley de dominio del dólar» como también se conoce a la Ley GENIUS, reportado previamente por CriptoNoticias, los senadores de los partidos republicano y demócrata colaboran ahora para reactivarla. La aprobación de esta normativa es imperativa antes del 26 de mayo, fecha límite para que conserve su viabilidad.
Además, un posible paquete de enmiendas bipartidistas al proyecto de ley ha comenzado a circular en el Senado, según dos fuentes cercanas al asunto citadas por Terrett. Estas enmiendas incluirían nuevas disposiciones sobre protección al consumidor, regulaciones de bancarrota y normas éticas, lo que indica un esfuerzo por abordar preocupaciones previas sobre el impacto de las stablecoins en la estabilidad financiera y los riesgos de fraude.
La Ley GENIUS, introducida por el senador Bill Hagerty el 4 de febrero de 2025, cuenta con el respaldo de figuras clave como el presidente del Comité Bancario del Senado, Tim Scott y Cynthia Lummis. Sin embargo, el proyecto ha enfrentado resistencia debido a quienes preocupaciones sobre lagunas en la protección al consumidor y posibles conflictos de interés.
Críticos como la senadora Elizabeth Warren advirtieron en ese momento que la versión del proyecto podría permitir a empresas tecnológicas no financieras, como Meta o X de Elon Musk, emitir stablecoins, lo que consideran una amenaza a la separación histórica entre banca y comercio. Warren también señaló riesgos de inestabilidad financiera, citando el caso de la stablecoin de Circle y otras que cayeron en depreciación en 2023. Debido a ello, se estarían proponiendo las enmiendas para fortalecer las salvaguardas.
Por otro lado, defensores del proyecto, como el representante French Hill, argumentan que la regulación de stablecoins es crucial para mantener el liderazgo de EE. UU. en la innovación financiera y contrarrestar el avance de monedas digitales como el yuan chino. Hill alineó su propuesta, la Ley STABLE, con la GENIUS para facilitar un marco federal unificado
